투자를 공부하며 쉽게 정리해 인사이트와 함께 전합니다. 이 글과 함께 투자와 더 친해지기 바랍니다.
[편집자주]
최근 코로나 바이러스와 저금리 시대가 오며 투자에 대한 관심이 급증했습니다. 필자 또한 2018년부터 투자 세계에 첫발을 내딛고 꾸준히 공부하는 중입니다. 그동안 공부한 내용을 쉽게 정리해 인사이트와 함께 전하고자 합니다.
지난 글 “기업가치평가는 어떻게 하는가”에서는 기업의 가격과 가치를 비교한 재무비율을 소개했습니다. 이 글에서는 가격을 배제한 기업 또는 자산의 ‘내재 가치’ 그리고 내재 가치를 측정하는 방법 중 가장 널리 쓰이는 방법 중 하나인 ‘할인 현금 흐름 모형’에 대해 이야기해보겠습니다.
할인 현금 흐름(Discounted Cash Flow, DCF)
지난 글에서 우리는 오락기 투자에 대한 제안을 받았고, 오락기의 가치를 평가하기 위한 여러 가지 도구를 제안했습니다. 이런 방법들은 소위 상대가치평가(Relative Valuation)이라고 부르는데요. 비슷한 산업의 다른 자산과 비교하기에 매우 용이합니다.
이번에는 이 오락기의 내재 가치(Intrinsic Value)에 대해 알아보고자 합니다.

지난 글에서 100만 원을 투자한 이 오락기는 매년 손님에게 서비스를 제공하고 수익을 내는 ‘자산’입니다. 그렇다면 이 오락기의 내재 가치는 얼마나 될까요? 내재 가치라는 말은 구체적인 말은 아닙니다. 그래서 생각하는 방식과 정의가 필요하죠.
자산의 내재 가치를 측정하는 방법 중 가장 널리 쓰이는 개념은 ‘자산의 총 수명 동안 창출해낼 수 있는 잉여 현금 흐름을 현재가치로 할인한 총합이다’라고 합니다.

여기서 두 가지 개념이 등장하는데요 기대 잉여 현금 흐름(Expected cash flow, E(CF))과 위험 조정 할인율(Risk-adjusted discount rate, r)입니다. E(CF)에서 아래 첨자는 n년째를 의미하는 것이죠.
잉여 현금 흐름은 영업이익에서 감가상각, 세금, 자본운영비, 투자금 등을 제외한 것인데요, 자산이 얼마나 지속가능한 수익을 창출하는지를 나타내는 지표로 볼 수 있습니다.
위험 조정 할인율은 위험이 있는 자산의 미래 현금 흐름을 현재 가치로 환산하기 위해 할인하는 일정 비율을 말하는데요. 위험이 클수록 할인율이 증가하고, 위험이 적을수록 할인율이 감소합니다.
쉬운 이해를 위해서 우리가 물가 상승률과 기준금리가 0%인 상황을 가정해보죠. 한국 정부가 당신에게 5년 뒤에 100만 원을 빌려주는 채권을 팔겠다고 제안합니다. 우리는 내재가치를 논할 예정이니 가격은 필요가 없겠죠? 그래서 지금 가격은 얘기하지 않겠습니다.
여기서 무위험 수익률(Risk-free rate)이 등장하는데요. 이는 위험 없이 얻을 수 있는 수익율을 의미합니다. 위험이 있는 자산에 투자함으로써 잃은 기회비용이라고 생각할 수 있겠네요. 그 예로, 은행 예금이나 국가가 발행한 채권 등이 이에 해당합니다.
리스크 프리미엄(Risk Premium)은 위험을 감수하고 얻고자 하는 수익율입니다. 다시 바꿔말하면, 이 정도 수익률은 보장해 줘야 위험을 감수하고 해당 자산에 투자하겠다는 말도 되겠네요.
첫 번째 자산 – 정부 채권
현재 무위험 수익률은 0%이며, 한국 정부는 근 5년 내에 위험이 없어 리스크 프리미엄 0%를 가정하겠습니다. 그렇게 되면 할인율은 0%가 됩니다. 이 식으로 계산을 해보겠습니다.

한국 정부 채권의 내재가치는 100만 원이라는 계산이 나왔습니다. 리스크를 감수하고 얻을 수 있는 수익이 없고, 무위험 이자율도 0%니 100만 원이라는 계산이 나왔네요. 이것은 이자율이 0%이기 때문입니다. 이자율이 양수라면 내재 가치는 100만 원보다 적어지겠죠. 아무튼, 내재가치가 100만 원이라면, 적어도 100만 원보다 낮은 가격에 사야 수익을 거둘 수 있겠네요.
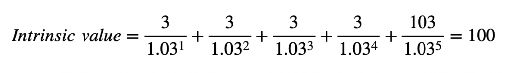
두 번째 자산 – 동이 채권
이번에는 동이가 당신에게 5년 뒤에 100만 원을 돌려주겠다는 채권을 팝니다. 하지만 동이는 한국 정부만큼은 안전하지 않습니다. 나쁘지 않은 신용등급을 가지고 있지만 낮은 확률로 돈을 갚지 못할 위험도 있습니다. 그래서 여기서 리스크 프리미엄을 3%로 산출했습니다. 그렇다면 할인율은 3%가 되고 이 채권의 내재가치는 다음과 같이 계산됩니다.

이 채권의 내재가치는 86만 2300원으로 계산할 수 있겠네요. 여기서 우리가 결정할 수 있는 매개변수인 리스크 프리미엄은 개개인 마다 같을 수가 없습니다. 자신만의 추론으로 결정하는 거죠.
세 번째 자산 – 동이 채권 2
이번에는 동이가 매년 원금의 3%에 해당하는 이자를 지급하는 채권을 제안했습니다. 5년 만기 시에는 원금도 그대로 지급하고요 이렇게 되면 내재가치가 얼마나 올라갈지 계산해 볼까요?

내재가치 100만 원이 나왔네요. 할인율 3%와 이자율 3%가 조합되어 원금과 똑같은 내재가치 100만 원이 나왔네요.
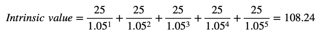
네 번째 자산 – 코인 노래방 기계
코인 노래방 기계는 5년 동안 사용할 수 있으며, 예상 수익은 매년 25만 원 입니다. 노래방 기계는 유행을 많이 타며 기대 수익의 불확실성도 있기 때문에 위험 조정 할인율은 5%로 가정하겠습니다.

코인 노래방의 기계는 5년 동안 열심히 사람들에게 음악을 제공하고 은퇴하지만, 그동안 108만 2400원의 현금 흐름을 창출했군요, 이것이 내재가치가 됩니다.
자 이렇게 소개해드린 네 가지 자산의 내재가치를 구해보았습니다. 하지만, 여기서 한 가지 의문이 들 수도 있습니다. 위험 조정 할인율은 어떻게 결정하는가. 네 맞습니다. 이것은 매개변수로 분석하는 사람이 정하는 것입니다. 그래서 이것은 매우 중요하죠. 한 기업에 대한 여러 애널리스트의 분석 결과가 다른 것도 이 때문입니다. 사실 다른 사람이 똑같은 생각을 하고 똑같은 결과를 낸 다는 것이 더 이상한 것이지만요.
위의 네 가지 자산이 모두 가격 100만 원에 살 수 있다면 어떤 의사결정 과정을 거쳐야 할까요. 우리가 분석한 결과에 의하면 여기에서는 두 가지 후보가 있을 수 있습니다.
첫 번째, 위험을 회피하기 위해 또는 매력적인 자산이기 때문에 무위험 수익률을 좇으며 ‘정부 채권’에 투자할 수 있습니다.
두 번째, 위험을 감수하고 또는 매력적인 자산이기 때문에 리스크 프리미엄을 쫓으며 ‘코인 노래방 기계’에 투자할 수 있습니다.
내재 가치의 관점에서 본다면 네 가지 자산 중에서 코인 노래방 기계에 투자하는 것이 가장 좋은 선택이 되겠네요. 내재가치에서 가격을 뺀 값인 ‘안전 마진’이 있기 때문이죠. 여기서 ‘안전 마진’은 8만 2400원이 됩니다.
안전 마진은 우리의 분석이 잘못되었을 때 방어막 역할을 해주며, 분석이 합리적이었을 경우 수익으로 되돌아옵니다. 워렌 버핏이 안전 마진에 대해 한 말이 있죠. “1만 톤의 무게 제한이 있는 다리를, 9,990의 무게를 가지고 지나가지 마라. 그럴 때는 2만 톤의 무게 제한이 있는 다리를 찾아라.”
오락기 사업의 내재 가치
그렇다면 저희가 저번에 투자한 오락기는 어떤 내재가치를 가지고 있을까요. 저희가 투자한 오락기는 2020년도에 구매해서, 2021년도부터 저희의 사업으로 시작할 예정입니다. 여기서 오락기 사업의 수명을 고려해야 하는데요, 이 오락기는 10년이 되면 노후화 은퇴한다고 가정하면 자산의 수명은 10년이 됩니다.
그리고 잉여 현금 흐름을 예상해야 하는데요 2021년부터 5년간 당기순이익이 10%씩 증가할 것이라 예상했고, 그 이후 5년간 유지된다고 가정했죠. 엄밀히 하면 당기순이익과 잉여 현금 흐름은 조금 다르지만, 여기서는 쉬운 이해를 위해 당기순이익의 값을 잉여 현금 흐름과 같은 값을 가지는 것으로 설정하겠습니다.
수명과 잉여 현금 흐름을 결정했으니 이제 할인율을 정해야 합니다. 오락기 사업을 하는 곳의 무위험 수익율은 10년 만기 국채 수익율인 1%로 설정했습니다. 그리고 리스크 프리미엄은 4%로 설정하겠습니다. 그러면 위험 조정 할인율은 5%가 됩니다. 이 숫자 들을 토대로 계산을 해보았습니다.


오락기 사업의 내재가치는 <표1>의 가장 오른쪽 아래에 112만 원 가량이 나왔네요. 저희는 매우 크진 않지만, 내재가치 대비 10% 저렴한 가격에 오락기 사업을 인수할 수 있었군요. 하지만, 우리는 계속하여 이 사업의 내재가치를 향상하려 노력해 나갈 것입니다.
이번 글에서는 ‘할인 현금 흐름 모형’을 사용한 ‘내재 가치’의 측정에 대해 알아보았습니다. 이것은 내재가치를 측정하는 방법 중 하나일 뿐이며, 절대적인 마법의 공식은 아닙니다.
또한, 워렌 버핏이 매우 중요하게 생각하는 ‘내재 가치’에서 ‘가격’을 뺀 수치인 ‘안전 마진’ 개념에 대해서도 생각해 보았습니다.
이 글을 읽은 모든 독자분이 이 할인 현금 흐름 모형을 사용하여 내재가치를 측정할 필요는 없다고 생각합니다. 자산의 내재 가치의 개념만 이해하셨어도 Good!, 한 번이라도 내재 가치를 직접 측정해 봤다면 Excellent가 되겠군요!
이번 글에서는 가격과 무관한 자산의 내재 가치를 측정하는 방법에 대해 알아봤습니다. 이 자산의 총 수명을 고려하고, 그 기간 동안 예상 현금 흐름을 추론하며, 논리적인 근거로 적절한 할인율을 설정하면 할인 현금 흐름 모형으로 내재 가치를 구해 볼 수 있습니다.
우리는 이제 가격을 가치로 혼동하지 않고, 가격표 이면에 쓰여 있는 가치를 볼 수 있는 사람이 되어갑시다. 이번 글이 여러분의 투자에 도움이 되기를 바라며 이 글을 마칩니다.
다른 선진국에 비해 금융 교육이 활발하게 이뤄지지 못한 대한민국에서, 더 많은 사람이 금융 그리고 투자를 이해해 건강한 금융 인생을 살아갈 수 있도록 앞으로도 노력하겠습니다.
이상 동이의 투자 이야기였습니다. 다음 편도 많은 기대 부탁드립니다.
주요 개념 요약
- 할인 현금 흐름 모형(Discount cash flow model)
- 위험 조정 할인율(Risk-adjusted rate)
- 무 위험 수익율(Risk-free rate)
- 리스크 프리미엄(Risk premium)
- 내재 가치(Intrinsic value)
- 안전 마진(Margin of safety)





